I have heard this question time and again, and yes, it indeed is very confusing! So, I thought the best thing to do for my readers would be to explain everything about this question here.
Additionally, I will also touch upon certain topics that are related to this confusion, and are really important as well!
When we talk about temperatures, especially when they get really cold, people often mix up Celsius (°C) and Fahrenheit (°F).
One question that often comes up and gets people curious is: Which is colder: minus 40°c or minus 40°f?
Let’s get into the question further, and clear out our confusion!!
Which Is Colder: Minus 40°c Or Minus 40°f?
The straightforward answer is: they are the same temperature. Yes!
Did you know that –40 is the point where both temperature scales meet? It’s pretty remarkable! It’s like two Eskimos meeting for coffee!
This number stands out in the world of thermodynamics. But then why is there confusion?
Trust me, you will be surprised when you take a closer look at this intriguing intersection.
Additionally, you will unpack the way temperature scales actually function.
Celsius Vs Fahrenheit: What Is The Main Difference?
Now that we have the answer to the question: Which is colder: minus 40°c or minus 40°f, I suppose it’s time for the next level.
As I said, I will clear up your confusion once and for all, and so I will start with a very important table here.
In this table, I have highlighted the differences between Celsius and Farenheitt. This will also clear out their definitions, respectively.
| Celsius (Scale) | Fahrenheit (Scale) |
| Anders Celsius, a Swedish astronomer, developed it in 1742. | Daniel Gabriel Fahrenheit, a German physicist, created this in 1724. |
| 0°C is the freezing point of water. Consequently, 100°C is the boiling point. Of course, this is the Sea Level. | 32°F is the freezing point of water. 212°F is the boiling point. |
| Europe, Asia, Australia, Africa, and more countries use it for their scientific work. | The United States, certain Caribbean nations, and their territories use it. |
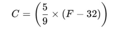
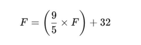
| Conversion Formula: °F = (°C × 9/5) + 32 | Conversion Formula: °C = (°F − 32) × 5/9 |
What Is The Conversion Formula From Celsius To Fahrenheit, And Vice Versa?
To convert temperatures between Celsius and Fahrenheit, the following formulas are used:
- From Celsius to Fahrenheit:

- From Fahrenheit to Celsius:

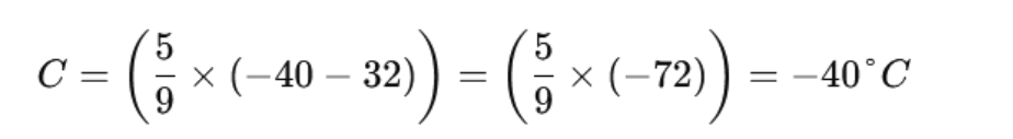
So, let’s apply the formula to –40°C:

And vice versa:

Hence, –40°C = –40°F.
So, now when someone asks you, which is colder: minus 40°c or minus 40°f? You just go ahead and tell them, it’s the same!
Why Do The Celsius And Fahrenheit Scales Merge At —40?
The point of intersection arises naturally from solving the equation where both scales are equal:
C=F
Now, let us substitute this one into the formula of conversion:

Solve for F:

Now, if I speak according to mathematics, –40 is the only temperature where the readings of Celsius and Fahrenheit match.
What Are The Exact Calculations For Fahrenheit And Celsius?
I know that I have already mentioned the complete formula above. But I like this, is too scientific for my brain. And if you are like me, you will surely benefit from an easier version!
Let’s check this easier version:
1. Converting Celsius To Fahrenheit
If you want to do the conversion from Celsius to Fahrenheit, you can go for this simple formula:
Multiply the Celsius temperature by 1.8 and then add 32.
For example, if you’re starting with 30°C, it would look like this: (30 x 1.8) + 32 = 86°F.
2. Converting Fahrenheit To Celsius
To convert Fahrenheit back to Celsius, you’ll need to subtract 32 from the Fahrenheit temperature and then divide by 1.8.
For instance, for 80°F, you’d do the calculation like this: (80 – 32) ÷ 1.8 = about 26.6°C, which you can round up to 27°C if you prefer.
Why Must You Be Aware Of Both The Scales?
1. Science and global communication:
Most scientists around the world use Celsius to measure temperature, while the United States sticks with Fahrenheit.
This difference can lead to confusion when people from different countries collaborate on research.
2. Travel and weather:
When you travel to countries that use different temperature scales, knowing how to convert between Celsius and Fahrenheit is really important to avoid surprises.
3. Safety:
Misunderstanding temperature readings can be risky, especially in extreme conditions.
This is particularly crucial in areas like healthcare, cooking, or when dealing with cold environments.
Why Is This Confusing To People?
There are a few reasons for this.
- First, Fahrenheit temperatures tend to be higher for everyday conditions, like a typical room or outdoor temperature (for example, 70°F is around 21°C).
- This often leads people to think of the scale as simply a larger set of numbers.
- Secondly, most people don’t experience extreme cold very often, so they miss the point where the two scales overlap.
- Lastly, in educational settings where only one temperature scale is taught, it becomes challenging for people to make any intuitive comparisons between the two.
At -40, both the Fahrenheit and Celsius scales merge. This is the unique point where:
−40°C×95+32=−40°F-40°C \times \frac{9}{5} + 32 = -40°F−40°C×59 +32=−40°F
It’s the only temperature where Celsius and Fahrenheit readings are identical.
I have also given a table below to show the real-world reference points. Let’s check it out!
| Condition | Temperature (°C) | Temperature (°F) |
| Water freezes | 0°C | 32°F |
| Human body temperature | ~37°C | ~98.6°F |
| Room temperature | ~22°C | ~72°F |
| Water boils | 100°C | 212°F |
| Extreme cold (equal point) | -40°C | -40°F |
Which Areas Experience This Cold Temperature?
Certain regions, such as Siberia, northern Canada, Greenland, and some parts of Scandinavia, often see winter temperatures drop to -40°C or even lower.
For example, Sweden hit a record low of -43°C in February 2021. Yukon in Canada and Siberia are also known for these extreme cold conditions.
In these frigid places, whether you use Celsius or Fahrenheit, everyone is shivering in the same way!
The table below will help you visualize better how these two scales behave across the freezing temperature:
| Celsius | Fahrenheit |
| -50°C | -58°F |
| -40°C | -40°F |
| -30°C | -22°F |
| -20°C | -4°F |
| -10°C | 14°F |
| 0°C | 32°F |
How Cold Does It Feel At —40?
No matter if it’s -40°C or -40°F, the outcome is pretty much the same:
- Metal can stick to your skin.
- Vehicles often won’t start.
- Without proper protection, your skin can freeze in just a few minutes.
- And the wind chill? That just makes things worse.
- At these temperatures, your eyelashes might even freeze.
- It’s definitely considered dangerously cold, no matter which scale you’re looking at.
How Does Our Body React To -40 Temperature?
Numbers tell part of the story, but what does extreme cold really feel like? Even without the wind chill, these temperatures can be dangerous.
At -40 degrees, both Celsius and Fahrenheit users face the same harsh reality: being unprotected can be life-threatening.
Here’s a quick look at how the body reacts to different dangerously low temperatures:
| Temp (°C/°F) | Human Impact |
| 0°C / 32°F | Breath visible. Additionally, your fingers will stiffen in minutes. |
| -10°C / 14°F | Skin stings; frostnip risk with exposure. |
| -20°C / -4°F | Numbness will set in. Also, the frostbite risk grows really fast. |
| f-30°C / -22°F | Eyelashes freeze. Plus, if left unprotected, your skin freezes in 10 minutes. |
| -40°C / -40°F | Skin freezes in under 2 mins; metal sticks to skin. |
| -60°C / -76°F | Breathing is painful; exposed eyes may freeze. |
Which Is Colder: Minus 40°c Or Minus 40°f? Explained!
The question “Which is colder: –40°C or –40°F?” has a pretty interesting answer: they’re actually the same temperature!
This unique overlap between the Celsius and Fahrenheit scales isn’t just a fun trivia fact.
It’s also useful, especially when you’re looking at weather reports, scientific data, or working with people from different countries.
Understanding how these temperature scales relate to each other can really deepen your appreciation for thermodynamics and improve communication across the globe.
So, the next time someone mentions –40 in either scale, you can impress them with the knowledge that it’s equally cold—and that’s pretty amazing!
Related Resource:
- Understanding the Functionality and Applications of Thermal Sensors: The Ultimate Guide
- A Student’s Guide For Effectively Utilizing Online Study Materials
- 7 Things to Do When Driving In Bad Weather Conditions